整体分析
现价上穿持仓均价,短期走强。操作上注意调整风险,控制仓位,高频操作为主。

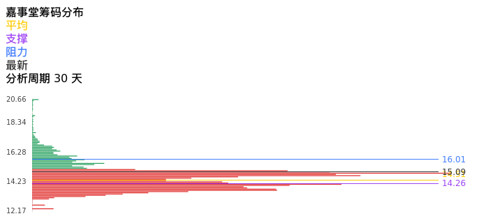
技术面
现价上穿持仓均价,短期走强。


消息面
消息方面,报告期期末商誉为5.16亿元,商誉占净资产比例12.21%,商誉减值风险较低。
嘉事堂最新动态
【嘉事堂:前三季度净利润2.37亿元 同比减少4.15%】10月30日电,嘉事堂发布2023年三季度报告,报告期前三季度营业收入为217.88亿元,同比增长7.43%;归属于上市公司股东的净利润为2.37亿元,同比减少4.15%。
嘉事堂股票分析报告-20231123收盘上涨1.48%
九方智投 2023-11-24
嘉事堂 --%
整体分析
现价上穿持仓均价,短期走强。操作上注意调整风险,控制仓位,高频操作为主。

技术面
现价上穿持仓均价,短期走强。


消息面
消息方面,报告期期末商誉为5.16亿元,商誉占净资产比例12.21%,商誉减值风险较低。
嘉事堂最新动态
【嘉事堂:前三季度净利润2.37亿元 同比减少4.15%】10月30日电,嘉事堂发布2023年三季度报告,报告期前三季度营业收入为217.88亿元,同比增长7.43%;归属于上市公司股东的净利润为2.37亿元,同比减少4.15%。
免责声明:用户发布的内容仅代表其个人观点,与九方智投无关,不作为投资建议,据此操作风险自担。请勿相信任何免费荐股、代客理财等内容,请勿添加发布内容用户的任何联系方式,谨防上当受骗。
相关股票
相关板块
相关资讯
扫码下载
九方智投app
扫码关注
九方智投公众号
头条热搜
涨幅排行榜