整体分析
主力资金明显减仓,看空态度较强。获利比例<10%,短期可能弱势反弹。现价下穿持仓均价,短期走弱。建议可以中长期跟踪。

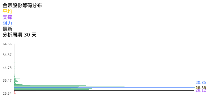
技术面
获利比例<10%,短期可能弱势反弹。现价下穿持仓均价,短期走弱。


基本面
公司盈利能力整体表现优秀,其中销售净利率和净资产收益率同比稳步增长。

资金面
近日处于主力轻度控盘状态,表明主力态度看淡。主力资金明显减仓,看空态度较强。所在行业的主力资金明显减仓,注意板块风险。主力大单的流出意愿坚决,关注短线风险。融资融券流出意愿坚决。机构季度持股环比增加,代表大资金看好公司发展,可关注中期上涨空间。



